Page 128 - 无损检测2024年第五期
P. 128
聂良鹏, 等:
活性粉末混凝土盖板抗弯承载力与无损检测参数的相关性试验
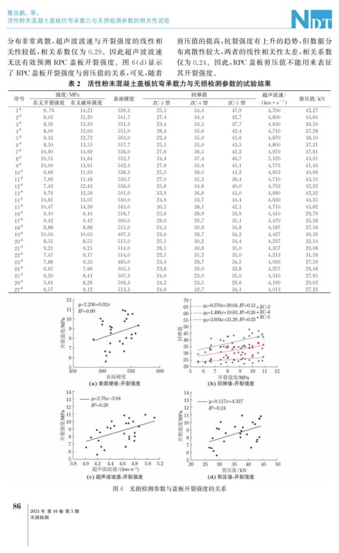
分布非常离散, 超声波波速与开裂强度的线性相 剪压值的提高, 抗裂强度有上升的趋势, 但数据分
关性较低, 相关系数仅为 0.29 。因此超声波波速 布离散性较大, 两者的线性相关性太差, 相关系数
无法有效预测 RPC 盖板开裂强度。图 6 ( d ) 显示 仅为0.24 。因此, RPC 盖板剪压值不能用来表征
了 RPC盖板开裂强度与剪压值的关系, 可见, 随着 其开裂强度。
表2 活性粉末混凝土盖板抗弯承载力与无损检测参数的试验结果
强度 / MPa 回弹值 超声波速 /
序号 表面硬度 剪压值 / kN
-1
名义开裂强度 名义破坏强度 ZC-3型 ZC-4型 ZC-5型 ( km · s )
#
1 9.76 14.21 539.3 25.1 34.4 47.9 4.700 42.27
#
2 8.03 15.20 541.7 27.4 34.4 42.7 4.800 43.84
#
3 8.39 13.93 551.3 23.4 33.3 37.7 4.630 39.50
#
4 8.00 12.00 551.0 26.4 35.6 42.4 4.710 37.28
#
5 9.33 12.72 563.0 22.4 35.9 41.6 4.870 38.10
#
6 8.50 13.53 557.7 25.5 35.0 43.5 4.800 37.21
#
7 10.90 14.69 536.0 27.6 36.5 42.2 4.970 37.81
#
8 10.51 14.64 552.7 24.4 37.4 46.7 5.120 43.91
#
9 10.00 13.61 542.3 27.6 35.6 45.1 4.773 41.49
#
10 6.66 11.93 538.3 25.5 36.0 41.2 4.653 40.96
#
11 7.69 11.48 530.7 27.0 35.3 39.4 4.710 43.10
#
12 7.43 12.43 536 .0 25.6 34.8 40.0 4.793 42.92
#
13 9.76 12.58 501.0 33.9 36.6 43.0 4.660 42.32
#
14 10.81 13.07 540.0 24.6 33.7 44.4 4.630 44.35
#
15 10.47 14.39 545.0 30.5 38.1 42.1 4.710 43.82
#
16 9.10 9.10 516.7 25.6 28.9 33.9 4.410 29.79
#
17 9.42 9.42 500.0 26.0 29.7 35.1 4.470 35.38
#
18 8.88 8.88 515.0 24.3 30.8 34.8 4.187 37.56
#
19 10.03 10.03 497.3 23.0 28.7 34.2 4.427 30.39
#
20 8.55 8.55 515.0 25.1 30.2 34.4 4.237 32.14
#
21 9.21 9.21 514.0 26.5 30.8 35.0 4.357 29.08
#
22 7.47 9.17 514.0 22.1 31.2 35. 0 4.213 31.58
#
23 7.88 9.33 485.0 23.4 28.7 34.5 4.093 27.59
#
24 6.65 7.66 505.3 23.8 26.0 32.8 4.257 26.48
#
25 6.20 8.41 507.3 24.0 23.0 31.0 4.310 27.95
#
26 5.61 8.26 506.3 24.2 23.5 29.6 4.190 29.02
#
27 6.57 9.12 513.3 24.6 32.7 34.1 4.013 27.23
图6 无损检测参数与盖板开裂强度的关系
6
8
2024年 第46卷 第5期
无损检测

