所有
标题
作者
关键词
摘要
DOI
栏目
年
地址
基金
中图分类号
高级检索
首页
关于本刊
刊物介绍
获奖与收录
编委会
投稿指南
投稿须知
专题征稿
期刊在线
优先发表
当期目录
过刊浏览
专题报道
下载排行
浏览排行
引用排行
高级检索
审稿政策
稿件处理流程
审稿人资格
审稿方式及周期
审稿标准及职责
出版伦理
下载中心
联系我们
English
集群期刊
所有
标题
作者
关键词
摘要
DOI
栏目
年
地址
基金
中图分类号
首页
关于本刊
刊物介绍
获奖与收录
编委会
投稿指南
投稿须知
专题征稿
期刊在线
优先发表
当期目录
过刊浏览
专题报道
下载排行
浏览排行
引用排行
高级检索
审稿政策
稿件处理流程
审稿人资格
审稿方式及周期
审稿标准及职责
出版伦理
下载中心
联系我们
English
集群期刊
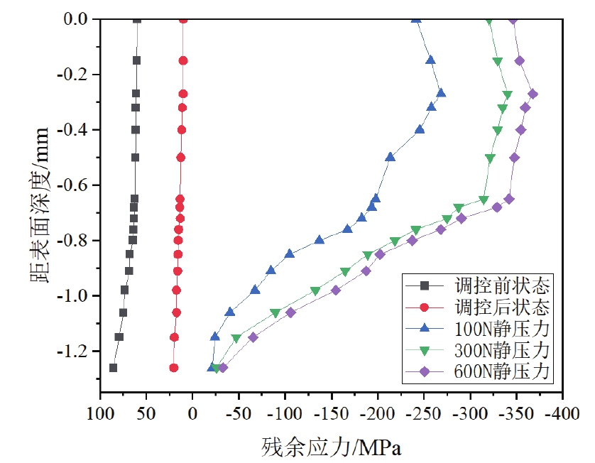
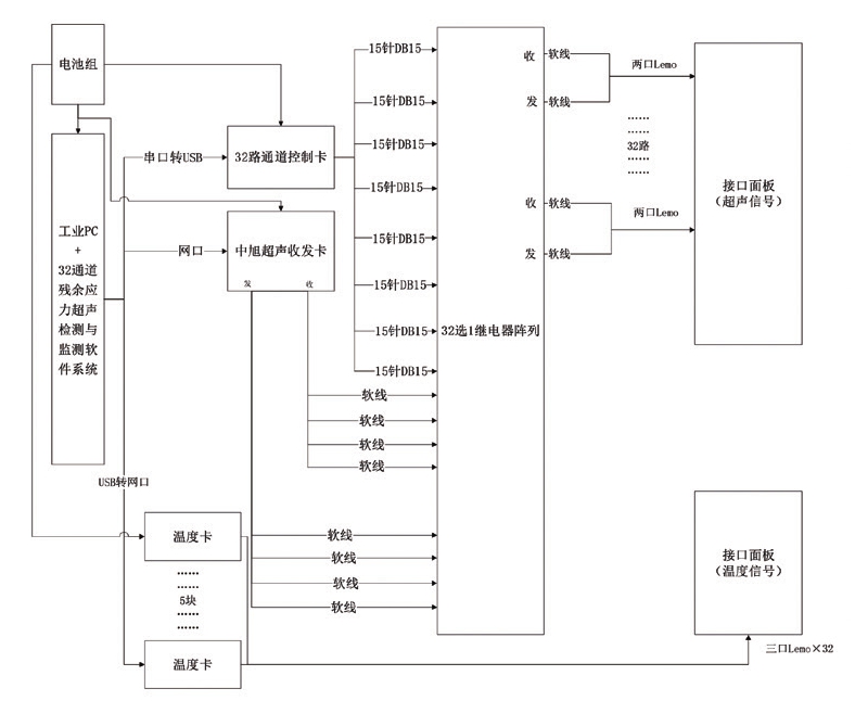
北京理工大学检测与控制研究所2023年科研进展
徐春广
摘要
HTML全文
图
(14)
表
(1)
参考文献
(0)
相关文章
施引文献
资源附件
(0)
摘要
HTML全文
参考文献
(0)
相关文章
施引文献
资源附件
(0)
/
下载:
全尺寸图片
幻灯片
返回文章
分享
用微信扫码二维码
分享至好友和朋友圈
返回
×
Close
导出文件
文件类别
RIS(可直接使用Endnote编辑器进行编辑)
Bib(可直接使用Latex编辑器进行编辑)
Txt
EndNote
引用内容
引文——仅导出文章的Citation信息
引文和摘要——导出文章的Citation信息和文章摘要信息
×
Close
引用参考文献格式